Математика и информатика – страница 62
Вы хотите в Интернет-магазине купить ноутбук. Тогда использовать в качестве расчетного средства обычный кошелек WebMoney…
Вы хотите начать изучать историю Атлантиды. Попытки найти тематическую литературу в поисковых системах не привели к нужному результату. Тогда сообщение с обсуждением проблемы, которое привлечет наибольшую целевую аудиторию и к которому можно будет вернуться и через год, лучше всего разместить …
Разность чисел 11011012 и С16 в шестнадцатеричной системе счисления равна…
Прямая
параллельна прямым…
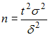
параллельна прямым…Предприятием были выпущены приборы, чувствительность которых распределена нормально и имеет дисперсию
. Для того, чтобы точность оценки математического ожидания чувствительности прибора не превышала
при
(
– аргумент функции Лапласа), необходимо, чтобы минимальный объем выборки
был равен …
. Для того, чтобы точность оценки математического ожидания чувствительности прибора не превышала
при
(
– аргумент функции Лапласа), необходимо, чтобы минимальный объем выборки
был равен …Решением дифференциального уравнения
является функция …
является функция …Результат сложения чисел 11012 и 68 в восьмеричной системе счисления равен…



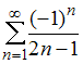
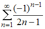
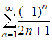
. Установите соответствие между следующими членами ряда и их числовыми значениями.


и
равен
,
,
. Тогда скалярное произведение векторов
и
равно…
и
.
элемент
равен …