Математика и информатика – страница 59
Установите соответствие между поколениями ЭВМ и их элементной базой.
1. Компьютеры 1 поколения
2. Компьютеры 2 поколения
3. Компьютеры 3 поколения
1. Компьютеры 1 поколения
2. Компьютеры 2 поколения
3. Компьютеры 3 поколения
На столе стоят две одинаковые по виду чашки: в одной лимонад, а в другой минеральная вода. Наудачу выбрали одну из чашек. В результате опыта получена информация объемом …
Уравнение
задает на плоскости…
задает на плоскости…Для любой однородной системы линейных уравнений, в которой число уравнений равно числу неизвестных, будет ложным высказывание …
Дан фрагмент электронной таблицы Microsoft Excel

Формулу, стоящую в ячейке B1, скопировали в ячейки B2:B5. Значение ячейки B6 равно …

Формулу, стоящую в ячейке B1, скопировали в ячейки B2:B5. Значение ячейки B6 равно …
,
, то вектор
имеет вид…
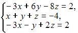
системы уравнений
определяется по формуле …