Математика и информатика – страница 48
В Microsoft Office PowerPoint для создания нового слайда нужно воспользоваться командой меню …
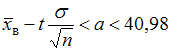
Для оценки с надежностью
математического ожидания
нормально распределенного признака
по выборочной средней
при среднем квадратичном отклонении
генеральной совокупности использовали доверительный интервал
, где
– значение аргумента функции Лапласа
, при котором
,
– объем выборки. Значение аргумента функции Лапласа для
равно
, а для
равно
.
Установите соответствие между значениями
и
и соответствующим доверительными интервалами.
1.
и 
2.
и 
математического ожидания
нормально распределенного признака
по выборочной средней
при среднем квадратичном отклонении
генеральной совокупности использовали доверительный интервал
, где
– значение аргумента функции Лапласа
, при котором
,
– объем выборки. Значение аргумента функции Лапласа для
равно
, а для
равно
.Установите соответствие между значениями
и
и соответствующим доверительными интервалами.1.
и 
2.
и 
Количество цифр в числе
, записанном в шестнадцатеричной системе счисления, равно …
, записанном в шестнадцатеричной системе счисления, равно …Системы, которые сами не выполняют поиск, а обращаются сразу к нескольким поисковым машинам, называются …
Число
, записанное в шестнадцатеричной системе счисления, имеет вид …
, записанное в шестнадцатеричной системе счисления, имеет вид …Для оценки с надежностью
математического ожидания
нормально распределенного признака
по выборочной средней
при среднем квадратичном отклонении
генеральной совокупности использовали доверительный интервал
, где
– значение аргумента функции Лапласа
, при котором
,
– объем выборки. Значение аргумента функции Лапласа для
равно
.
Установите соответствие между доверительными интервалами и соответствующими значениями объемов выборок:
1)
,
2)
.
математического ожидания
нормально распределенного признака
по выборочной средней
при среднем квадратичном отклонении
генеральной совокупности использовали доверительный интервал
, где
– значение аргумента функции Лапласа
, при котором
,
– объем выборки. Значение аргумента функции Лапласа для
равно
.Установите соответствие между доверительными интервалами и соответствующими значениями объемов выборок:
1)
,2)
.Для оценки с надежностью
математического ожидания
нормально распределенного признака
по выборочной средней
при среднем квадратичном отклонении
генеральной совокупности использовали доверительный интервал
, где
– значение аргумента функции Лапласа
, при котором
,
– объем выборки. Значение аргумента функции Лапласа для
равно
.
Установите соответствие между объемами выборок
и соответствующим доверительными интервалами.
1.
2.
математического ожидания
нормально распределенного признака
по выборочной средней
при среднем квадратичном отклонении
генеральной совокупности использовали доверительный интервал
, где
– значение аргумента функции Лапласа
, при котором
,
– объем выборки. Значение аргумента функции Лапласа для
равно
.Установите соответствие между объемами выборок
и соответствующим доверительными интервалами.1.

2.

Среди Интернет-ресурсов, представленных логотипами, информационно-поисковой системой не является …
Число
в шестнадцатеричной системе счисления имеет вид …
в шестнадцатеричной системе счисления имеет вид …Число
, записанное в двоичной системе счисления, имеет вид …
, записанное в двоичной системе счисления, имеет вид …Среди Интернет-ресурсов, представленных логотипами, информационно-поисковой системой является …
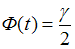
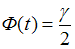
Для оценки с некоторой надежностью
математического ожидания
нормально распределенного признака
по выборочной средней
используют доверительный интервал
, где
– точность оценки.
Установите соответствие между значениями
,
и доверительными интервалами, полученными по данным значениям:
1)
,
;
2)
,
.
математического ожидания
нормально распределенного признака
по выборочной средней
используют доверительный интервал
, где
– точность оценки.Установите соответствие между значениями
,
и доверительными интервалами, полученными по данным значениям:1)
,
;2)
,
.
и
, записанная в шестнадцатеричной системе счисления, имеет вид …