Математика и информатика – страница 15
График функции плотности распределения непрерывной случайной величины, которая задана условием
, имеет вид …
, имеет вид …Представителями юридическо-правовых информационных систем являются программные продукты …
Кроме компьютерных вирусов к вредоносному программному обеспечению (malware) относятся …
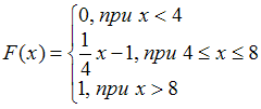
Функция распределения непрерывной случайной величины
имеет вид:
. Тогда значение плотности распределения
при
равно …
имеет вид:
. Тогда значение плотности распределения
при
равно …Топология компьютерной сети типа «звезда» схематически изображена на рисунке …
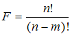
Даны формулы:
1.
;
2.
;
3.
;
4.
.
Тогда формула, с помощью которой вычисляется число всевозможных размещений без повторений из
по
элементов, имеет номер …
1.
;2.
;3.
;4.
.Тогда формула, с помощью которой вычисляется число всевозможных размещений без повторений из
по
элементов, имеет номер …Языки программирования, для которых имеются компиляторы, работающие более чем на одной аппаратной платформе или операционной системе, называются …
При температуре (Т) ниже
, отменяются занятия в первых–третьих классах школ, ниже
градусов – в первых–восьмых классах, ниже
градусов – в первых–одиннадцатых классах школ. Блок-схема алгоритма, реализующего регламент школьных занятий при понижении температуры, имеет вид …
, отменяются занятия в первых–третьих классах школ, ниже
градусов – в первых–восьмых классах, ниже
градусов – в первых–одиннадцатых классах школ. Блок-схема алгоритма, реализующего регламент школьных занятий при понижении температуры, имеет вид …К семейству операционных систем семейства Windows, поддерживающих файловую систему NTFS, не относится …
Проказница мартышка, осел, козел, да косолапый мишка затеяли сыграть квартет…(И. А. Крылов «Квартет») Тогда этих четырех музыкантов можно рассадить в один ряд ___ способами.
,
и
изображены на диаграмме. Тогда для них верны следующие высказывания …