Математика и информатика – страница 10
Из цифр числа 456789 составлены различные трехзначные числа, в которых цифры не повторяются. Количество таких чисел равно …
2
– множество однозначных чисел, меньших 9,
– множество однозначных чисел, кратных 4. Тогда для них верны следующие высказывания …
– множество однозначных чисел, меньших 9,
– множество однозначных чисел, кратных 4. Тогда для них верны следующие высказывания …Даны математические предложения:
«Средней линией треугольника называется отрезок, соединяющий середины двух его сторон»;
«Средняя линия треугольника параллельна одной из его сторон и равна половине этой стороны»;
«Два треугольника подобны, если два угла одного треугольника равны двум углам другого треугольника»;
«Через точку, не лежащую на данной прямой, проходит только одна прямая, параллельная данной».
Среди этих предложений есть …
«Средней линией треугольника называется отрезок, соединяющий середины двух его сторон»;
«Средняя линия треугольника параллельна одной из его сторон и равна половине этой стороны»;
«Два треугольника подобны, если два угла одного треугольника равны двум углам другого треугольника»;
«Через точку, не лежащую на данной прямой, проходит только одна прямая, параллельная данной».Среди этих предложений есть …
Многоугольником распределения дискретной случайной величины
, для которого вероятность
равна 0,35, является …
, для которого вероятность
равна 0,35, является …Дисперсия
случайной величины
равна
. Значение среднего квадратического отклонения
случайной величины
равно …
случайной величины
равна
. Значение среднего квадратического отклонения
случайной величины
равно …Установите соответствие между видом события и значением его вероятности.
1. достоверное событие
2. невозможное событие
1. достоверное событие
2. невозможное событие
В урне 30 разноцветных шаров. Вероятность извлечь наугад один синий шар равна 0,6. Тогда количество синих шаров в урне равно …
Символы некоторого алфавита кодируются двух-, трех- и четырехзначными двоичными кодами. Тогда максимальное количество символов алфавита, которые можно закодировать данными комбинациями, составит …
Интернет – глобальная компьютерная сеть – основывается на использовании протоколов семейства …
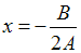
Дан алгоритм нахождения корней квадратного уравнения
:
1) вычислить дискриминант вида
;
2) если
, то вещественных корней нет, перейти к пункту 5;
3) если
, то существует единственный корень
, перейти к пункту 5;
4) если
, то существуют два корня
;
5) напечатать результат, остановиться.
В данном описании используется базовая алгоритмическая структура …
:1) вычислить дискриминант вида
;2) если
, то вещественных корней нет, перейти к пункту 5;3) если
, то существует единственный корень
, перейти к пункту 5;4) если
, то существуют два корня
;5) напечатать результат, остановиться.
В данном описании используется базовая алгоритмическая структура …
Алгоритм расчета сложных процентов задан в виде блок-схемы:

В результате выполнения представленного алгоритма при начальной сумме вклада
, процентах по вкладу
, через
года, будет вычислено значение суммы вклада с процентами
, равное …

В результате выполнения представленного алгоритма при начальной сумме вклада
, процентах по вкладу
, через
года, будет вычислено значение суммы вклада с процентами
, равное …Дан алгоритм в словесной форме:
1) переменным
присвоить значение (ввести с клавиатуры);
2) определить начальное значение
;
3) задать значение
;
4) вычислить
;
5) если
, идти к пункту 3;
6) вывести значение
;
7) закончить.
Если
и
, то результатом выполнения алгоритма будет значение переменной
, равное …
1) переменным
присвоить значение (ввести с клавиатуры);2) определить начальное значение
;3) задать значение
;4) вычислить
;5) если
, идти к пункту 3;6) вывести значение
;7) закончить.
Если
и
, то результатом выполнения алгоритма будет значение переменной
, равное …Математическое ожидание нормально распределенной случайной величины, заданной плотностью распределения
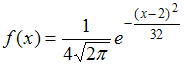
, равно …
, равно …
является подмножеством множества
» истинно для пары множеств …