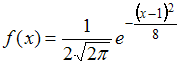
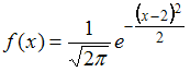
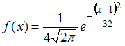
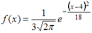
Дисперсия равна 4 для нормально распределенной случайной величины, заданной плотностью распределения …
• 
• 
• 
• 
Тема: Законы распределения вероятностей непрерывных случайных величин. Нормальный закон распределения вероятностей
Предмет: Математика и информатика