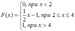
График плотности распределения непрерывной случайной величины X  имеет вид:
Изображение вопроса График плотности распределения непрерывной случайн...
Тогда функция распределения непрерывной случайной величины X  может иметь вид …
• 
• 
• 
• 
Тема: Законы распределения вероятностей непрерывных случайных величин. Нормальный закон распределения вероятностей
Предмет: Математика и информатика