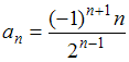
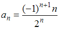
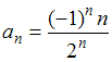
Установите соответствие между числовыми рядами и формулами их общих членов.
1. Изображение вопроса Установите соответствие между числовыми рядами и ф...
2. Изображение вопроса Установите соответствие между числовыми рядами и ф...
3. Изображение вопроса Установите соответствие между числовыми рядами и ф...
• 
• 
• 
• 
Тема: Числовые ряды
Предмет: Математика и информатика