Дан закон распределения дискретной случайной величины 
.
Установите соответствие между характеристиками случайной величины и формулами для их вычисления.
1. Математическое ожидание
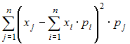
2. Дисперсия
3. Среднее квадратическое отклонение

.Установите соответствие между характеристиками случайной величины и формулами для их вычисления.
1. Математическое ожидание
2. Дисперсия
3. Среднее квадратическое отклонение
• 

• 

• 

• 
