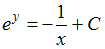
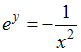
Общее решение дифференциального уравнения с разделяющимися переменными  Изображение вопроса Общее решение дифференциального уравнения с раздел...  имеет вид …
• 
• 
• 
• 
Тема: Дифференциальные уравнения с разделяющимися переменными
Предмет: Математика и информатика