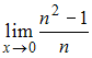
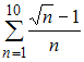
Использование элементов шаблонов Изображение вопроса Использование элементов шаблонов  и  редактора фор... и Изображение вопроса Использование элементов шаблонов  и  редактора фор... редактора формул Microsoft Word позволит записать формулу …
• 
• 
• 
• 
Тема: Текстовые редакторы. Работа с импортированными объектами и таблицами
Предмет: Математика и информатика