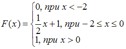
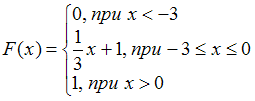
Наименьшее значение, принимаемое непрерывной случайной величиной X, равно Изображение вопроса Наименьшее значение, принимаемое непрерывной случа... Тогда ее функция распределения может иметь вид …
• 
• 
• 
• 
Тема: Законы распределения вероятностей непрерывных случайных величин. Нормальный закон распределения вероятностей
Предмет: Математика и информатика