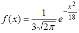
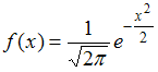
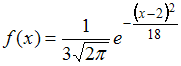
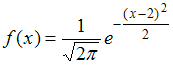
Плотность распределения вероятностей стандартного (или нормированного) нормального распределения (при Изображение вопроса Плотность распределения вероятностей стандартного ..., Изображение вопроса Плотность распределения вероятностей стандартного ...) имеет вид …
• 
• 
• 
• 
Тема: Законы распределения вероятностей непрерывных случайных величин. Нормальный закон распределения вероятностей
Предмет: Математика и информатика