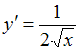
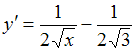
Производная функции Изображение вопроса Производная функции  равна …... равна …
• 
• 
• 
• 
Тема: Дифференциальное исчисление. Формулы, основные правила дифференцирования
Предмет: Математика и информатика