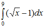
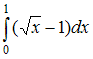
Площадь криволинейной трапеции D определяется интегралом …
Изображение вопроса Площадь криволинейной трапеции D определяется инте...
• 
• 
• 
• 
Тема: Геометрические приложения определенного интеграла
Предмет: Математика и информатика