Математический анализ – страница 5
1 Кейс-задания: Кейс 1 подзадача 2
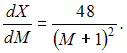
При доходе потребителя, равном M = 4 у.е., потребление некоторого блага составляет X = 50 ед. Известно, что скорость изменения спроса по доходу равна
Объем спроса при M = 9 равен …
При доходе потребителя, равном M = 4 у.е., потребление некоторого блага составляет X = 50 ед. Известно, что скорость изменения спроса по доходу равна

Объем спроса при M = 9 равен …
2 Кейс-задания: Кейс 1 подзадача 3
При доходе потребителя, равном M = 4 у.е., потребление некоторого блага составляет X = 50 ед. Известно, что скорость изменения спроса по доходу равна
Наибольшее значение объема потребления не превзойдет величины …
При доходе потребителя, равном M = 4 у.е., потребление некоторого блага составляет X = 50 ед. Известно, что скорость изменения спроса по доходу равна

Наибольшее значение объема потребления не превзойдет величины …
3 Кейс-задания: Кейс 2 подзадача 1
В процессе производства используются два вида ресурсов: капитал K и труд L. Функция выпуска имеет вид
на аренду фондов (капитала) и оплату труда выделено 60 у.е., стоимость аренды единицы фондов равна 5 у.е., ставка заработной платы 3 у.е.
При решении задачи на максимизацию объема выпуска функция Лагранжа имеет вид …
В процессе производства используются два вида ресурсов: капитал K и труд L. Функция выпуска имеет вид
на аренду фондов (капитала) и оплату труда выделено 60 у.е., стоимость аренды единицы фондов равна 5 у.е., ставка заработной платы 3 у.е.При решении задачи на максимизацию объема выпуска функция Лагранжа имеет вид …
4 Кейс-задания: Кейс 2 подзадача 2
В процессе производства используются два вида ресурсов: капитал K и труд L. Функция выпуска имеет вид
на аренду фондов (капитала) и оплату труда выделено 60 у.е., стоимость аренды единицы фондов равна 5 у.е., ставка заработной платы 3 у.е.
Наибольший объем выпуска достигается при значении K, равном …
В процессе производства используются два вида ресурсов: капитал K и труд L. Функция выпуска имеет вид
на аренду фондов (капитала) и оплату труда выделено 60 у.е., стоимость аренды единицы фондов равна 5 у.е., ставка заработной платы 3 у.е.Наибольший объем выпуска достигается при значении K, равном …
5 Кейс-задания: Кейс 2 подзадача 3
В процессе производства используются два вида ресурсов: капитал K и труд L. Функция выпуска имеет вид
на аренду фондов (капитала) и оплату труда выделено 60 у.е., стоимость аренды единицы фондов равна 5 у.е., ставка заработной платы 3 у.е.
Установите соответствие между значениями параметра a и наибольшим значением объема выпуска.
1. a = 1
2. a = 3
3. a = 5
В процессе производства используются два вида ресурсов: капитал K и труд L. Функция выпуска имеет вид
на аренду фондов (капитала) и оплату труда выделено 60 у.е., стоимость аренды единицы фондов равна 5 у.е., ставка заработной платы 3 у.е.Установите соответствие между значениями параметра a и наибольшим значением объема выпуска.
1. a = 1
2. a = 3
3. a = 5
6 Кейс-задания: Кейс 3 подзадача 1
Цена p (у.е.) на продукцию линейно падает с увеличением объема x (ед.) предъявления готовой продукции на рынке как
а затраты С (у.е.) зависят от объема производства как 
Функция прибыли равна …
Цена p (у.е.) на продукцию линейно падает с увеличением объема x (ед.) предъявления готовой продукции на рынке как
а затраты С (у.е.) зависят от объема производства как 
Функция прибыли равна …
7 Кейс-задания: Кейс 3 подзадача 2
Цена p (у.е.) на продукцию линейно падает с увеличением объема x (ед.) предъявления готовой продукции на рынке как
а затраты С (у.е.) зависят от объема производства как 
Наибольшее значение прибыли равно ___ у.е.
Цена p (у.е.) на продукцию линейно падает с увеличением объема x (ед.) предъявления готовой продукции на рынке как
а затраты С (у.е.) зависят от объема производства как 
Наибольшее значение прибыли равно ___ у.е.
8 Кейс-задания: Кейс 3 подзадача 3
Цена p (у.е.) на продукцию линейно падает с увеличением объема x (ед.) предъявления готовой продукции на рынке как
а затраты С (у.е.) зависят от объема производства как 
Пусть предприятие платит налог, который является акцизом со ставкой t, то есть
Установите соответствие между значениями ставки t и объемом производства, при котором достигается наибольшая прибыль.
1. t = 0,1
2. t = 0,3
3. t = 0,5
Цена p (у.е.) на продукцию линейно падает с увеличением объема x (ед.) предъявления готовой продукции на рынке как
а затраты С (у.е.) зависят от объема производства как 
Пусть предприятие платит налог, который является акцизом со ставкой t, то есть
Установите соответствие между значениями ставки t и объемом производства, при котором достигается наибольшая прибыль.1. t = 0,1
2. t = 0,3
3. t = 0,5
9 Кейс-задания: Кейс 1 подзадача 1
При доходе потребителя, равном M = 5 у.е., потребление некоторого блага составляет X = 40 ед. Известно, что скорость изменения спроса по доходу равна
Функция спроса по доходу выражается зависимостью …
При доходе потребителя, равном M = 5 у.е., потребление некоторого блага составляет X = 40 ед. Известно, что скорость изменения спроса по доходу равна

Функция спроса по доходу выражается зависимостью …
10 Кейс-задания: Кейс 1 подзадача 2
При доходе потребителя, равном M = 5 у.е., потребление некоторого блага составляет X = 40 ед. Известно, что скорость изменения спроса по доходу равна
Объем спроса при M = 11 равен …
При доходе потребителя, равном M = 5 у.е., потребление некоторого блага составляет X = 40 ед. Известно, что скорость изменения спроса по доходу равна

Объем спроса при M = 11 равен …
11 Кейс-задания: Кейс 1 подзадача 3
При доходе потребителя, равном M = 5 у.е., потребление некоторого блага составляет X = 40 ед. Известно, что скорость изменения спроса по доходу равна
Наибольшее значение объема потребления не превзойдет величины …
При доходе потребителя, равном M = 5 у.е., потребление некоторого блага составляет X = 40 ед. Известно, что скорость изменения спроса по доходу равна

Наибольшее значение объема потребления не превзойдет величины …
12 Кейс-задания: Кейс 2 подзадача 1
В процессе производства используются два вида ресурсов: капитал K и труд L. Функция выпуска имеет вид
на аренду фондов (капитала) и оплату труда выделено 60 у.е., стоимость аренды единицы фондов равна 3 у.е., ставка заработной платы 4 у.е.
При решении задачи на максимизацию объема выпуска функция Лагранжа имеет вид …
В процессе производства используются два вида ресурсов: капитал K и труд L. Функция выпуска имеет вид
на аренду фондов (капитала) и оплату труда выделено 60 у.е., стоимость аренды единицы фондов равна 3 у.е., ставка заработной платы 4 у.е.При решении задачи на максимизацию объема выпуска функция Лагранжа имеет вид …
13 Кейс-задания: Кейс 2 подзадача 2
В процессе производства используются два вида ресурсов: капитал K и труд L. Функция выпуска имеет вид
на аренду фондов (капитала) и оплату труда выделено 60 у.е., стоимость аренды единицы фондов равна 3 у.е., ставка заработной платы 4 у.е.
Наибольший объем выпуска достигается при значении K, равном …
В процессе производства используются два вида ресурсов: капитал K и труд L. Функция выпуска имеет вид
на аренду фондов (капитала) и оплату труда выделено 60 у.е., стоимость аренды единицы фондов равна 3 у.е., ставка заработной платы 4 у.е.Наибольший объем выпуска достигается при значении K, равном …
14 Кейс-задания: Кейс 2 подзадача 3
В процессе производства используются два вида ресурсов: капитал K и труд L. Функция выпуска имеет вид
на аренду фондов (капитала) и оплату труда выделено 60 у.е., стоимость аренды единицы фондов равна 3 у.е., ставка заработной платы 4 у.е.
Установите соответствие между значениями параметра a и наибольшим значением объема выпуска.
1. a = 1
2. a = 3
3. a = 5
В процессе производства используются два вида ресурсов: капитал K и труд L. Функция выпуска имеет вид
на аренду фондов (капитала) и оплату труда выделено 60 у.е., стоимость аренды единицы фондов равна 3 у.е., ставка заработной платы 4 у.е.Установите соответствие между значениями параметра a и наибольшим значением объема выпуска.
1. a = 1
2. a = 3
3. a = 5
15 Кейс-задания: Кейс 1 подзадача 1
При доходе потребителя, равном M = 6 у.е., потребление некоторого блага составляет X = 45 ед. Известно, что скорость изменения спроса по доходу равна
Функция спроса по доходу выражается зависимостью …
При доходе потребителя, равном M = 6 у.е., потребление некоторого блага составляет X = 45 ед. Известно, что скорость изменения спроса по доходу равна

Функция спроса по доходу выражается зависимостью …