Кейс-задания: Кейс 3 подзадача 1
Предприятие производит продукцию трех видов, используя для этого два вида сырья. Нормы затрат сырья (в у.е.) на производство одной единицы изделия каждого вида указаны в таблице.

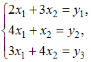
Если обозначить за
– объем используемого ресурса
, а за
– объем
, то объемы
,
и
произведенной продукции видов
,
и
соответственно, можно определить из системы линейных уравнений вида …
Предприятие производит продукцию трех видов, используя для этого два вида сырья. Нормы затрат сырья (в у.е.) на производство одной единицы изделия каждого вида указаны в таблице.

Если обозначить за
– объем используемого ресурса
, а за
– объем
, то объемы
,
и
произведенной продукции видов
,
и
соответственно, можно определить из системы линейных уравнений вида …• 

• 

• 

• 
