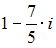
Значение выражения Изображение вопроса Значение выражения  равно …... равно …
• 
• 
• 
• 
Тема: Операции над комплексными числами, заданными в алгебраической форме
Предмет: Линейная алгебра