Информатика – страница 79
На рисунке приведена структурная схема проектирования квартала. Cначала предусматривается определение объектов в общих чертах, а затем идет постепенное уточнение структуры путем выделения более мелких объектов с характерными свойствами. Такой принцип поектирования в программировании называется …


При фильтрации записей таблицы реляционной базы данных

по условиям

на экране отобразятся записи с номерами …

по условиям

на экране отобразятся записи с номерами …
В классификации экспертных систем по связи с реальным временем не существует …
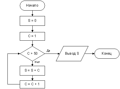
В результате работы алгоритма при начальных значениях N = 10 и X = 5 будет получено значение Y, равное …


В представленном фрагменте базы данных «Соревнования» отражено, какое количество очков набрал каждый участник в четырех видах состязаний: A, B, C и D.

Количество набранных очков в каждом виде состязания увеличивалось на 4, 3, 2 и 1 соответственно. Победитель определялся по сумме набранных очков за все виды состязаний, которая у всех участников оказалась разной. Для определения победителя достаточно …

Количество набранных очков в каждом виде состязания увеличивалось на 4, 3, 2 и 1 соответственно. Победитель определялся по сумме набранных очков за все виды состязаний, которая у всех участников оказалась разной. Для определения победителя достаточно …
Процедура взаимодействия инженера по знаниям и эксперта, в результате которой становятся явными процесс рассуждений специалистов при принятии решения и структура их представлений о предметной области, называется _____________ знаний.
Дана следующая программа с подпрограммой

В результате выполнения программы значение переменной С будет равно …

В результате выполнения программы значение переменной С будет равно …


