Информатика – страница 58
Логическая функция
принимает значение Ложь (0) при …
принимает значение Ложь (0) при …Модему, передающему сообщения со скоростью 28 800 бит/с, для передачи 100 страниц текста в 30 строк по 60 символов каждая в кодировке ASCII потребуется ______ секунд (-ы).
Расположите прообразы современных вычислительных устройств, появившиеся в механический период, в правильной последовательности.
Основная область применения первого нейрокомпьютера, моделирующего структуру человеческого мозга, – это …
Слово «модель» происходит от латинского «modulus», что в переводе означает…
Функция mod вычисляет остаток от деления нацело первого аргумента на второй. Значение переменной K после выполнения следующей программы:
k:=0;
нц
для i от 1 до 100
если (mod(i,3)=2) и (mod(i,5)=1)
то k:=k+1
все
кц
будет равно …
k:=0;
нц
для i от 1 до 100
если (mod(i,3)=2) и (mod(i,5)=1)
то k:=k+1
все
кц
будет равно …
Значение переменной m после выполнения фрагмента алгоритма (операция mod ( х, y ) – получение остатка целочисленного деления х на y)

будет равно …

будет равно …
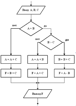
Значение переменной F, если начальные значения переменных A, B и C равны 1, 1 и 4 соответственно, будет равно …


Одинарный щелчок левой клавишей мыши в MS Word, когда курсор имеет вид, представленный на рисунке, приводит к выделению…


Очень короткая программа, которая находится в первом секторе системного диска, – это ...
Под понятием «безопасность баз данных» подразумевается…


