Информатика – страница 57
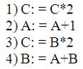
Даны значения переменных A=1, B=2, C=3. Установите порядок выполнения операций присваивания так, чтобы в результате значение переменной C стало равно 16.


Создана программа с использованием средств объектно-ориентированного подхода. На форме размещено два объекта: «Кнопка» и «Поле Выбора». Обработчик события «Нажатие кнопки» запрограммирован таким образом, чтобы изменить визуальные свойства этих объектов. На рисунке представлены объекты и их размещение до и после выполнения заявленного события. Если считать, что пространственные координаты объектов – это также визуальные свойства, то у объектов «Кнопка» и «Поле Выбора» изменилось _______визуальных свойств.


Перемещаясь из одной папки в другую, пользователь последовательно посетил папки DOC, USER, SCHOOL, D:\, LETTER, INBOX. При каждом перемещении пользователь либо спускался в папку на уровень ниже, либо поднимался на уровень выше. Укажите полное имя папки, из которой начал перемещение пользователь.
Дан фрагмент электронной таблицы в режиме отображения формул.

После выполнения вычислений была построена диаграмма по значениям диапазона ячеек A1:A4. Укажите получившуюся диаграмму.

После выполнения вычислений была построена диаграмма по значениям диапазона ячеек A1:A4. Укажите получившуюся диаграмму.
Для создания следующей фигуры с помощью векторного графического редактора минимальное количество треугольников равно …


Согласно классификации параллельных архитектур по Флинну ЭВМ, построенные по принципам фон Неймана, относят к типу …
К основным характеристикам монитора или проектора не относятся(-ятся) …
Регенерация, т.е. периодическое восстановление состояния ячеек памяти, является атрибутом …
В классификация моделей по области использования не бывает моделей…
Заданное в восьмеричной системе счисления число
равно десятичному числу ...
равно десятичному числу ...При перекодировке сообщения из кода Unicode в код ASCII объем сообщения изменился на
Мб. Сообщение содержит ____символа(-ов).
Мб. Сообщение содержит ____символа(-ов).