Информатика – страница 43
Одно из основополагающих понятий объектно-ориентированного программирования «полиморфизм» означает …
Модель базы данных, представляющая собой совокупность двумерных таблиц, где каждая таблица отражает объект реального мира, а каждая строка в таблице отражает параметры конкретного элемента объекта, называется…
Дан фрагмент базы данных «Сотрудники». Чтобы повысить всем сотрудникам зарплату на 20%, необходимо создать запрос …


Укажите правильный порядок следования этапов компьютерного моделирования:
а) планирование и проведение компьютерных экспериментов,
б) создание алгоритма и написание программы,
в) разработка концептуальной модели, выявление основных элементов системы и их взаимосвязей,
г) формализация, переход к модели,
д) постановка задачи, определение объекта моделирования,
е) анализ и интерпретация результатов.
а) планирование и проведение компьютерных экспериментов,
б) создание алгоритма и написание программы,
в) разработка концептуальной модели, выявление основных элементов системы и их взаимосвязей,
г) формализация, переход к модели,
д) постановка задачи, определение объекта моделирования,
е) анализ и интерпретация результатов.
В таблице приведены данные о количестве призеров олимпиады по информатике (И), математике (М) и физике (Ф) в трех городах России:

В столбце E подсчитано количество призеров по каждому городу, а в строке 5 – количество призеров по каждому предмету.
Диаграмма

построена по …

В столбце E подсчитано количество призеров по каждому городу, а в строке 5 – количество призеров по каждому предмету.
Диаграмма

построена по …
Алгоритм задан на алгоритмическом языке:

В результате выполнения алгоритма при
и значениях элементов одномерного массива
значение переменной
будет равно …

В результате выполнения алгоритма при
и значениях элементов одномерного массива
значение переменной
будет равно …Характеристика качества информации, заключающаяся в достаточности данных для принятия решений, – это…
Алгоритм задан схемой:

В результате выполнения алгоритма при исходных данных

значение переменной
будет равно …

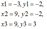
В результате выполнения алгоритма при исходных данных

значение переменной
будет равно …
будет ложным при следующих значениях переменных 