Информатика – страница 36
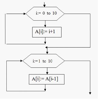
В приведенном ниже фрагменте блок-схемы массив сначала заполняется, а потом изменяется.

В результате все элементы этого массива …

В результате все элементы этого массива …
Искусственный интеллект – научное направление, связанное с машинным моделированием человеческих интеллектуальных функций, в основе которого лежат положения науки …
Дан фрагмент электронной таблицы
.
Количество записей, удовлетворяющих условиям расширенного фильтра

равно …
.Количество записей, удовлетворяющих условиям расширенного фильтра

равно …
Дан фрагмент базы данных «Телефонный справочник».

Требуется восстановить номер телефона абонента, о котором известно, что его фамилия либо Михайлов, либо Михайловский, проживает он на Невском проспекте и номер его телефона оканчивается на цифру 7. Соответствующий запрос должен иметь вид …

Требуется восстановить номер телефона абонента, о котором известно, что его фамилия либо Михайлов, либо Михайловский, проживает он на Невском проспекте и номер его телефона оканчивается на цифру 7. Соответствующий запрос должен иметь вид …
Такие параметры, как время реакции пикселя и угол обзора, характерны для следующих устройств:
В объектно-ориентированном программировании определенный пользователем тип данных, который обладает внутренними данными и методами для работы с ними в форме процедур или функций, называется …
Выражению
соответствует следующее арифметическое выражение на языке программирования (операция возведения в степень обозначена символом «^») …
соответствует следующее арифметическое выражение на языке программирования (операция возведения в степень обозначена символом «^») …Принцип структурного программирования «разделяй и властвуй» подразумевает …
