Информатика – страница 180
В текстовом редакторе MS Word набран текст (положение курсора отмечено вертикальной черточкой красного цвета):
.
После нажатия клавиши <End> курсор переместится в конец …
.После нажатия клавиши <End> курсор переместится в конец …
7 Кейс-задания: Кейс 2 подзадача 1
Допустим, что Вы устраиваетесь на работу в рекламное агентство. Среди требований к претенденту одним из главных является его ИКТ-компетентность (а именно, умение работать в текстовых процессорах, графических редакторах, быть грамотным пользователем Интернета).
Растровый графический редактор наиболее эффективно использовать для …
Допустим, что Вы устраиваетесь на работу в рекламное агентство. Среди требований к претенденту одним из главных является его ИКТ-компетентность (а именно, умение работать в текстовых процессорах, графических редакторах, быть грамотным пользователем Интернета).
Растровый графический редактор наиболее эффективно использовать для …
8 Кейс-задания: Кейс 2 подзадача 2
Допустим, что Вы устраиваетесь на работу в рекламное агентство. Среди требований к претенденту одним из главных является его ИКТ-компетентность (а именно, умение работать в текстовых процессорах, графических редакторах, быть грамотным пользователем Интернета).
Имеются два абзаца одного и того же текста.

Для представленных фрагментов текста одинаковы следующие параметры шрифтов и абзацев …
Допустим, что Вы устраиваетесь на работу в рекламное агентство. Среди требований к претенденту одним из главных является его ИКТ-компетентность (а именно, умение работать в текстовых процессорах, графических редакторах, быть грамотным пользователем Интернета).
Имеются два абзаца одного и того же текста.

Для представленных фрагментов текста одинаковы следующие параметры шрифтов и абзацев …
9 Кейс-задания: Кейс 2 подзадача 3
Допустим, что Вы устраиваетесь на работу в рекламное агентство. Среди требований к претенденту одним из главных является его ИКТ-компетентность (а именно, умение работать в текстовых процессорах, графических редакторах, быть грамотным пользователем Интернета).
Задан адрес электронной почты в сети Интернет:
post-box@my-net.by.
Доменом верхнего уровня является …
Допустим, что Вы устраиваетесь на работу в рекламное агентство. Среди требований к претенденту одним из главных является его ИКТ-компетентность (а именно, умение работать в текстовых процессорах, графических редакторах, быть грамотным пользователем Интернета).
Задан адрес электронной почты в сети Интернет:
post-box@my-net.by.
Доменом верхнего уровня является …
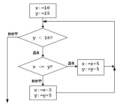
Решение задач на компьютерах состоит из ряда этапов. Непосредственно перед этапом «Программирование» выполняется этап …
Имеется задача: «Определить, существует ли треугольник с заданными длинами сторон».
При решении данной задачи необходимо использовать структуру …
При решении данной задачи необходимо использовать структуру …
Для групповых операций с файлами используются маски имен файлов, при создании которых применяются специальные символы:
– символ «?» (вопросительный знак) обозначает ровно один любой символ;
– символ «*» (звездочка) обозначает любое количество любых символов (в том числе, может обозначать и пустую последовательность).
Имеются файлы:

После удаления файлов при помощи маски ?1*.E* остался только файл …
– символ «?» (вопросительный знак) обозначает ровно один любой символ;
– символ «*» (звездочка) обозначает любое количество любых символов (в том числе, может обозначать и пустую последовательность).
Имеются файлы:

После удаления файлов при помощи маски ?1*.E* остался только файл …
равна …
равна …
