Информатика – страница 18
Реляционная база данных задана тремя таблицами.

Поля Код спортсмена, Код дистанции, Дата соревнования, Время, Телефон соответственно должны иметь типы …

Поля Код спортсмена, Код дистанции, Дата соревнования, Время, Телефон соответственно должны иметь типы …
Правильной записью формулы для электронных таблиц MS Excel среди приведенных является …
На локальном диске H: выполнена последовательность действий:
1) создать папку A;
2) открыть папку A;
3) создать папку 1;
4) закрыть папку A;
5) создать папку B;
6) создать папку 2.
Структурой папок, созданной в результате этих действий, будет …
1) создать папку A;
2) открыть папку A;
3) создать папку 1;
4) закрыть папку A;
5) создать папку B;
6) создать папку 2.
Структурой папок, созданной в результате этих действий, будет …
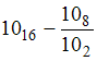
Значение выражения
в двоичной системе счисления равно …
в двоичной системе счисления равно …В 1896 г. ___________ основывает фирму по производству табуляционных машин, которая в 1924 г. после серии слияний и переименований превратилась в знаменитую фирму ИБМ (IBM, International Business Machines Corporation).
В лексиконе Эллочки-Людоедки, как известно, было 30 слов. Она произносит фразу, состоящую из 50 слов. В этом случае количество информации, которое сообщает Эллочка, составляет ______ бит.
Считать, что выбор любого из 30 слов равновероятен.
Считать, что выбор любого из 30 слов равновероятен.
В процессе моделирования формирование представления о составляющих исходного объекта осуществляется на этапе …

