Информатика – страница 155
На локальном диске H: выполнена последовательность действий:
1) создать папку A;
2) открыть папку A;
3) создать папку 1;
4) закрыть папку A;
5) создать папку B;
6) создать папку 2;
7) открыть папку А.
Структурой папок, созданной в результате этих действий, будет …
1) создать папку A;
2) открыть папку A;
3) создать папку 1;
4) закрыть папку A;
5) создать папку B;
6) создать папку 2;
7) открыть папку А.
Структурой папок, созданной в результате этих действий, будет …
Сообщение содержит 4096 символов. Объем сообщения составил 1/512 Мбайт. Мощность алфавита, с помощью которого записано данное сообщение, равна…
При отображении графической информации на экране монитора в RGB-модели белый цвет задается кодом …
Представлена база данных «Волшебные страны». После проведения сортировки сведения о НАРНИИ переместятся на одну строку вниз. Это возможно, если сортировка будет проведена в порядке…


Форматированием накопителей на магнитной основе (гибких, жестких дисков и т.п.) называется процесс …
В таблице на трех языках программирования приведены фрагменты программ, выполняющих одни и те же действия над одномерными массивами A и B. В данных фрагментах …


При поступлении абитуриента в ВУЗ существует автоматическая система его зачисления на различные специальности по результатам сдачи пяти экзаменов. Система представляет собой программу, созданную на принципах структурного программирования. Первый модуль программы подсчитывает сумму набранных балов на экзаменах, второй модуль – среднее значение. Следующий модуль рассчитывает комплексную оценку полученных результатов и сравнивает со средним проходным баллом на выбранную специальность. Модуль вывода результатов показывает, на какие специальности сможет быть зачислен абитуриент. Минимальное количество подпрограмм, которое целесообразно реализовать в рассмотренной системе, равно …
Разработана процедура в интегрированной среде разработки приложений Delphi/Visual Basic. Выполняя ручную трассировку программы, выясните, сколько раз переменной k будет присвоено значение 7.


В таблице на трех языках программирования приведены фрагменты программ, выполняющих одни и те же действия с использованием элементов одномерного массива А. В результате переменной S будет присвоено значение суммы …


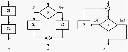
В основу методологии структурного программирования положено использование четырех видов основных структур (композиций операторов) – последовательности, подпрограммы, альтернативы и цикла. На рисунке отсутствует структура …


Представлена база данных «Школа». Запрос для вывода списка учеников 11 классов, 1987 года рождения, имеющих оценки не ниже 4, содержит выражение…




