Информатика – страница 138
В качестве имени файла недопустимо использовать последовательность символов …
Олимпиада по программированию оценивается по сумме очков, полученных за каждую из трех задач, плюс 10 % от набранной суммы для учащихся младше 10-го класса. Участники, набравшие 27 баллов и более, получают диплом 1 степени, 25–26 баллов – диплом 2 степени, 23–24 балла – диплом 3 степени. Участники, набравшие меньше 23 баллов, получают поощрительные грамоты.
Введите в электронную таблицу исходные данные (слова можно сокращать).

Введите в электронную таблицу формулы для расчета:
– значений в столбцах G и H (в обоих случаях используйте логическую функцию «ЕСЛИ»);
– средних значений в ячейках D15, E15, F15;
– общей суммы баллов по всем участникам в ячейке G16.
По полученным расчетам установите соответствие между следующими участниками олимпиады:
1) Тихонов В. Л.
2) Семенов Д. А.
3) Чернов А. П.
и количеством набранных ими баллов.
Введите в электронную таблицу исходные данные (слова можно сокращать).

Введите в электронную таблицу формулы для расчета:
– значений в столбцах G и H (в обоих случаях используйте логическую функцию «ЕСЛИ»);
– средних значений в ячейках D15, E15, F15;
– общей суммы баллов по всем участникам в ячейке G16.
По полученным расчетам установите соответствие между следующими участниками олимпиады:
1) Тихонов В. Л.
2) Семенов Д. А.
3) Чернов А. П.
и количеством набранных ими баллов.
Архитектура современного персонального компьютера подразумевает такую логическую организацию аппаратных компонент компьютера, при которой …
В текстовом редакторе набран текст (положение курсора отмечено вертикальной черточкой красного цвета):

После нажатия клавиши <End> курсор переместится …

После нажатия клавиши <End> курсор переместится …
Требуется в ячейке D2 вычислить сумму ячейки A1 и диапазона ячеек от B2 по C3:

Необходимый результат получается при использовании формулы …

Необходимый результат получается при использовании формулы …
В представленной базе данных «Тестирование»

сначала была проведена сортировка по убыванию значений поля «ФИО», а затем фильтрация по указанным ниже условиям.

После выполнения сортировки и фильтрации первой окажется запись с номером …

сначала была проведена сортировка по убыванию значений поля «ФИО», а затем фильтрация по указанным ниже условиям.

После выполнения сортировки и фильтрации первой окажется запись с номером …
Модель абсолютно упругого столкновения двух тел, записанная в виде формул, является …
Алгоритм задан схемой:

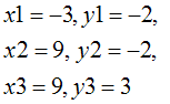
В результате выполнения алгоритма при исходных данных

значение переменной
будет равно …

В результате выполнения алгоритма при исходных данных

значение переменной
будет равно …Одно из основополагающих понятий объектно-ориентированного программирования «полиморфизм» означает …
на выходе логической схемы 



