На рисунке представлен Редактор формул.

Установите соответствие между использованными шаблонами Редактора формул и созданными формулами.
1.
, 
2.
, 
3.
, 

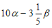
Установите соответствие между использованными шаблонами Редактора формул и созданными формулами.
1.
, 
2.
, 
3.
, 
• 

• 

• 

• 
