Блок-схема цикла с постусловием имеет вид …
•
Это блок-схема неполного ветвления.
•
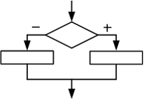
Это блок-схема полного ветвления.
• 

•
Это блок-схема цикла с предусловием.
Это блок-схема неполного ветвления.
Это блок-схема полного ветвления.

Это блок-схема цикла с предусловием.