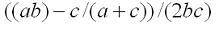
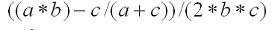
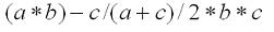
Выберите правильную запись выражения
  Изображение вопроса Выберите правильную запись выражения 
     
 на яз... 
на языке программирования.
• 
• 
• 
• 
Тема: Эволюция и классификация языков программирования. Основные понятия языков программирования
Предмет: Информатика