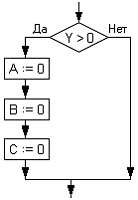
Имеется словесное описание алгоритма:
«Если Y больше нуля, то обнулить A, обнулить B, обнулить C.»
Этому описанию соответствует блок-схема …
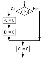
«Если Y больше нуля, то обнулить A, обнулить B, обнулить C.»
Этому описанию соответствует блок-схема …
• 

• 

• 

• 
