Физика – страница 79
Через блок в форме диска радиусом 10 см и массой 30 г перекинута невесомая нерастяжимая нить, к концам которой подвешены грузы одинаковой массы (машина Атвуда). Если установить платформу на расстоянии 70 см, а к правому грузу добавить перегрузок № 2, то …
блок будет вращаться с угловым ускорением ________ рад/с2.
блок будет вращаться с угловым ускорением ________ рад/с2.
Через блок в форме диска радиусом 10 см и массой 30 г перекинута невесомая нерастяжимая нить, к концам которой подвешены грузы одинаковой массы (машина Атвуда). Если установить платформу на расстоянии 70 см, а к правому грузу добавить перегрузок № 2, то …
система придет в движение, и в конце пути 0,7 м блок будет иметь угловую скорость ________ рад/с.
система придет в движение, и в конце пути 0,7 м блок будет иметь угловую скорость ________ рад/с.
Через блок в форме диска радиусом 10 см и массой 30 г перекинута невесомая нерастяжимая нить, к концам которой подвешены грузы одинаковой массы (машина Атвуда). Если установить платформу на расстоянии 70 см, а к правому грузу добавить перегрузок № 2, то …
момент силы, действующий на блок, будет равен _________ Н·м.
момент силы, действующий на блок, будет равен _________ Н·м.
На рисунке изображен цикл Карно в координатах
, где S – энтропия. Адиабатное расширение происходит на этапе …

, где S – энтропия. Адиабатное расширение происходит на этапе …
Через блок в форме диска радиусом 15 см и массой 20 г перекинута невесомая нерастяжимая нить, к концам которой подвешены грузы одинаковой массы (машина Атвуда). Если установить платформу на расстоянии 60 см, а к правому грузу добавить перегрузок № 2, то …
блок будет вращаться с угловым ускорением ________ рад/с2.
блок будет вращаться с угловым ускорением ________ рад/с2.
Через блок в форме диска радиусом 15 см и массой 20 г перекинута невесомая нерастяжимая нить, к концам которой подвешены грузы одинаковой массы (машина Атвуда). Если установить платформу на расстоянии 60 см, а к правому грузу добавить перегрузок № 2, то …
система придет в движение, и в конце пути 0,6 м блок будет иметь угловую скорость ________ рад/с.
система придет в движение, и в конце пути 0,6 м блок будет иметь угловую скорость ________ рад/с.
Через блок в форме диска радиусом 15 см и массой 20 г перекинута невесомая нерастяжимая нить, к концам которой подвешены грузы одинаковой массы (машина Атвуда). Если установить платформу на расстоянии 60 см, а к правому грузу добавить перегрузок № 2, то …
момент силы, действующий на блок, будет равен _________ Н·м.
момент силы, действующий на блок, будет равен _________ Н·м.
На пути естественного света помещены две пластинки турмалина. После прохождения пластинки 1 свет полностью поляризован. Если J1 и J2 – интенсивности света, прошедшего пластинки соответственно 1 и 2, и
, тогда угол между направлениями OO и O’O’ равен …

, тогда угол между направлениями OO и O’O’ равен …
На рисунках схематически представлены графики распределения плотности вероятности по ширине одномерного потенциального ящика с бесконечно высокими стенками для состояний электрона с различными значениями главного квантового числа n:

В состоянии с n = 2 вероятность обнаружить электрон в интервале от
до
равна …

В состоянии с n = 2 вероятность обнаружить электрон в интервале от
до
равна …10 Для a-распада несправедливым является утверждение, что …
В ходе необратимого процесса при поступлении в неизолированную термодинамическую систему тепла для приращения энтропии верным будет соотношение …
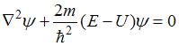
Стационарное уравнение Шредингера в общем случае имеет вид
. Здесь
потенциальная энергия микрочастицы. Движение частицы в трехмерном бесконечно глубоком потенциальном ящике описывает уравнение …
. Здесь
потенциальная энергия микрочастицы. Движение частицы в трехмерном бесконечно глубоком потенциальном ящике описывает уравнение …Через блок, массой которого можно пренебречь, перекинута невесомая нерастяжимая нить, к концам нити подвешены грузы одинаковой массы (машина Атвуда). Если к правому грузу добавить перегрузок № 1, то …
на пути 0,3 м грузы будут двигаться с ускорением ________ м/с2.
на пути 0,3 м грузы будут двигаться с ускорением ________ м/с2.
Через блок, массой которого можно пренебречь, перекинута невесомая нерастяжимая нить, к концам нити подвешены грузы одинаковой массы (машина Атвуда). Если к правому грузу добавить перегрузок № 1, то …
в конце пути 0,3 м грузы будут иметь скорость ________ м/с.
в конце пути 0,3 м грузы будут иметь скорость ________ м/с.

