Физика – страница 69
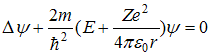
Стационарное уравнение Шредингера в общем случае имеет вид
, где
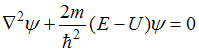
потенциальная энергия микрочастицы. Движение частицы в трехмерном бесконечно глубоком потенциальном ящике описывает уравнение …
, где
потенциальная энергия микрочастицы. Движение частицы в трехмерном бесконечно глубоком потенциальном ящике описывает уравнение …Тело начало двигаться со скоростью, при которой его масса возросла на 20 %. При этом скорость тела (в долях от скорости света в вакууме) составляет …
Тонкостенный цилиндр массы m и радиуса R вращается под действием постоянного момента сил вокруг оси, проходящей через центр масс цилиндра и перпендикулярной плоскости его основания. Если ось вращения перенести параллельно на край цилиндра, то (при неизменном моменте сил) его угловое ускорение
…
…На рисунке представлены результаты экспериментального исследования зависимости силы тока в цепи от значения сопротивления, подключенного к источнику постоянного тока. Если ЭДС источника 12 В, то его внутреннее сопротивление и ток короткого замыкания соответственно равны …


Груз на пружине совершает свободные гармонические колебания согласно графику, представленному на рисунке.

После увеличения массы груза график свободных колебаний маятника будет иметь вид, показанный на рисунке …

После увеличения массы груза график свободных колебаний маятника будет иметь вид, показанный на рисунке …
Уравнение плоской синусоидальной волны, распространяющейся вдоль оси OХ, имеет вид
. Длина этой волны (в м) равна …
. Длина этой волны (в м) равна …Проекция скорости электрона на некоторое направление может быть найдена с неопределенностью
м/с. Неопределенность соответствующей координаты электрона (в мкм) не меньше …
(
,
.)
м/с. Неопределенность соответствующей координаты электрона (в мкм) не меньше … (
,
.)В центральной части атома, занимая небольшой объем и обладая его основной массой, находится положительно заряженное ядро. Верным является утверждение, что …
Импульс материальной точки изменяется по закону:
. Модуль силы (в Н), действующей на точку в момент времени
, равен …
. Модуль силы (в Н), действующей на точку в момент времени
, равен …Тело массой m, прикрепленное к пружине жесткостью k, может без трения двигаться по горизонтальной поверхности (пружинный маятник).

Если А – амплитуда колебаний, то при смещении тела из положения равновесия на величину
скорость тела составит …

Если А – амплитуда колебаний, то при смещении тела из положения равновесия на величину
скорость тела составит …На рисунке представлены графики зависимости концентрации молекул идеального газа n от высоты h над уровнем моря для двух разных температур –
(распределение Больцмана).

Для графиков этих функций верным является утверждение, что …
(распределение Больцмана).
Для графиков этих функций верным является утверждение, что …
Электростатическое поле создано системой точечных зарядов
,
и
.

Вектор напряженности поля в точке А ориентирован в направлении …
,
и
.
Вектор напряженности поля в точке А ориентирован в направлении …
Поле создано круговым витком с током I1. Сила Ампера, действующая на отрезок проводника с током I2, лежащий на оси витка (см. рис.) …


Материальная точка совершает гармонические колебания по закону
. Максимальное значение скорости точки (в м/с) равно …
. Максимальное значение скорости точки (в м/с) равно …
.