Физика – страница 52
Два проводника заряжены до потенциалов 34 В и –16 В. Заряд 100 нКл нужно перенести со второго проводника на первый. При этом необходимо совершить работу, равную (в мкДж) …
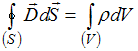
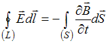
Полная система уравнений Максвелла для электромагнитного поля в интегральной форме имеет вид:
,
,
,
.
Следующая система уравнений:




справедлива для …
,
,
,
.Следующая система уравнений:




справедлива для …
Установите соответствие между видами фундаментальных взаимодействий и радиусами их действия в метрах.
1. Гравитационное
2. Слабое
3. Сильное
1. Гравитационное
2. Слабое
3. Сильное
Заряд в единицах заряда электрона равен +1, масса в единицах массы электрона равна 1836,2, спин в единицах
равен 1/2. Это основные характеристики …
равен 1/2. Это основные характеристики …Однородный диск массой m и радиусом R вращается под действием постоянного момента сил относительно оси, проходящей через его центр масс и перпендикулярной плоскости диска. Если ось вращения перенести параллельно на край диска, то (при неизменном моменте сил) для момента инерции J и углового ускорения
диска справедливы соотношения …
диска справедливы соотношения …Автомобиль поднимается в гору по участку дуги с увеличивающейся по величине скоростью.

Равнодействующая всех сил, действующих на автомобиль, ориентирована вдоль направления …

Равнодействующая всех сил, действующих на автомобиль, ориентирована вдоль направления …
Частица совершила перемещение по некоторой траектории из точки 1 с радиус-вектором
в точку 2 с радиус-вектором
. При этом на нее действовала сила
(
,
и
заданы в единицах СИ). Работа, совершенная силой
, равна …
в точку 2 с радиус-вектором
. При этом на нее действовала сила
(
,
и
заданы в единицах СИ). Работа, совершенная силой
, равна …Энтропия неизолированной термодинамической системы в процессе плавления вещества в ней …
На рисунке представлены графики функций распределения молекул идеального газа
во внешнем однородном поле силы тяжести от высоты
для двух разных температур –
(распределение Больцмана).

Для этих функций верным является утверждение, что …
во внешнем однородном поле силы тяжести от высоты
для двух разных температур –
(распределение Больцмана).
Для этих функций верным является утверждение, что …
На (P,V)-диаграмме изображены два циклических процесса.

Отношение работ
, совершенных в этих циклах, равно …

Отношение работ
, совершенных в этих циклах, равно …КПД цикла Карно равен 60%. Если на 20% уменьшить температуру нагревателя и на 20% увеличить температуру охладителя, КПД (в % ) достигнет значения …
При комнатной температуре отношение молярных теплоемкостей при постоянном давлении и постоянном объеме
равно
для газа …
равно
для газа …Зависимости давления
идеального газа во внешнем однородном поле силы тяжести от высоты
для двух разных температур определяются барометрической формулой и представлены на рисунке.

Для этих функций неверным является утверждение, что …
идеального газа во внешнем однородном поле силы тяжести от высоты
для двух разных температур определяются барометрической формулой и представлены на рисунке.
Для этих функций неверным является утверждение, что …
Диаграмма циклического процесса идеального одноатомного газа представлена на рисунке. Работа газа в килоджоулях в циклическом процессе равна …


превратился в стабильный изотоп свинца
, должны произойти …