Физика – страница 46
Экспериментатор, стоящий на неподвижной скамье Жуковского, получает от помощника колесо, вращающееся вокруг вертикальной оси с угловой скоростью
. Если экспериментатор повернет ось вращения колеса на угол
, то он вместе с платформой придет во вращение с угловой скоростью
.


Отношение момента инерции экспериментатора со скамьей к моменту инерции колеса равно …
. Если экспериментатор повернет ось вращения колеса на угол
, то он вместе с платформой придет во вращение с угловой скоростью
.

Отношение момента инерции экспериментатора со скамьей к моменту инерции колеса равно …
На борту космического корабля нанесена эмблема в виде геометрической фигуры:

Если корабль движется в направлении, указанном на рисунке стрелкой, со скоростью, сравнимой со скоростью света, то в неподвижной системе отсчета эмблема примет форму, указанную на рисунке …

Если корабль движется в направлении, указанном на рисунке стрелкой, со скоростью, сравнимой со скоростью света, то в неподвижной системе отсчета эмблема примет форму, указанную на рисунке …
Давление
света на поверхность при энергетической освещенности
составило
. Коэффициент
отражения этой поверхности в процентах равен …
света на поверхность при энергетической освещенности
составило
. Коэффициент
отражения этой поверхности в процентах равен …На пути естественного света помещены две пластинки турмалина. После прохождения пластинки 1 свет полностью поляризован. Если
и
– интенсивности света, прошедшего пластинки 1 и 2 соответственно, и угол между направлениями оптических осей OO и O’O’
, то
и
связаны соотношением …

и
– интенсивности света, прошедшего пластинки 1 и 2 соответственно, и угол между направлениями оптических осей OO и O’O’
, то
и
связаны соотношением …
Если при уменьшении температуры площадь фигуры под графиком спектральной плотности энергетической светимости абсолютно черного тела
уменьшилась в 16 раз, то отношение температур
равно …

уменьшилась в 16 раз, то отношение температур
равно …
Одна и та же дифракционная решетка освещается различными монохроматическими излучениями с разными интенсивностями (J – интенсивность света,
– угол дифракции). Зависимость интенсивности от синуса угла дифракции, соответствующая случаю освещения светом с наибольшей частотой показана на рисунке …
– угол дифракции). Зависимость интенсивности от синуса угла дифракции, соответствующая случаю освещения светом с наибольшей частотой показана на рисунке …Стационарное уравнение Шредингера в общем случае имеет вид:
, где U – потенциальная энергия микрочастицы. Электрону в атоме водорода соответствует уравнение …
, где U – потенциальная энергия микрочастицы. Электрону в атоме водорода соответствует уравнение …Среднее время жизни
-мезона равно
. Энергетическая разрешающая способность прибора, с помощью которого можно зарегистрировать
-мезон, должна быть не менее … (ответ выразите в эВ и округлите до целых; используйте значение постоянной Планка
).
-мезона равно
. Энергетическая разрешающая способность прибора, с помощью которого можно зарегистрировать
-мезон, должна быть не менее … (ответ выразите в эВ и округлите до целых; используйте значение постоянной Планка
).9 Если
-функция электрона в одномерном потенциальном ящике шириной L с бесконечно высокими стенками имеет вид, указанный на рисунке, то вероятность обнаружить электрон на участке
равна …

-функция электрона в одномерном потенциальном ящике шириной L с бесконечно высокими стенками имеет вид, указанный на рисунке, то вероятность обнаружить электрон на участке
равна …
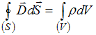
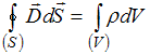
Полная система уравнений Максвелла в интегральной форме имеет вид:
,
,
,
.
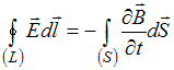
Следующая система уравнений:
,
,
,

справедлива для …
,
,
,
.Следующая система уравнений:
,
,
,
справедлива для …
На графике представлена зависимость плотности тока в проводнике от напряженности электрического поля. Удельное сопротивление проводника в единицах
равно…

равно…
Установите соответствие между источником электростатического поля и формулой, позволяющей вычислить напряженность поля в некоторой точке.
1. Точечный заряд
2. Равномерно заряженная длинная нить
3. Равномерно заряженная бесконечная плоскость
1. Точечный заряд
2. Равномерно заряженная длинная нить
3. Равномерно заряженная бесконечная плоскость
Вещество является однородным изотропным парамагнетиком, если магнитная восприимчивость …
Сила тока в проводящем круговом контуре индуктивностью 100 мГн изменяется с течением времени по закону
(в единицах СИ).

Абсолютная величина ЭДС самоиндукции равна____ ; при этом индукционный ток направлен …
(в единицах СИ).
Абсолютная величина ЭДС самоиндукции равна____ ; при этом индукционный ток направлен …
