Физика – страница 41
На рисунках схематически представлены графики распределения плотности вероятности обнаружения электрона по ширине одномерного потенциального ящика с бесконечно высокими стенками для состояний с различными значениями главного квантового числа n.

В состоянии с n = 4 вероятность обнаружить электрон в интервале от
до
равна …

В состоянии с n = 4 вероятность обнаружить электрон в интервале от
до
равна …На рисунке представлены графики зависимости концентрации молекул идеального газа
от высоты
над уровнем моря для двух разных температур –
(распределение Больцмана).

Для графиков этих функций верными являются утверждения, что …
от высоты
над уровнем моря для двух разных температур –
(распределение Больцмана).
Для графиков этих функций верными являются утверждения, что …
Два одинаковых источника тока соединены последовательно. Если источники соединить параллельно, то сила тока короткого замыкания …
На рисунке представлена зависимость магнитного потока, пронизывающего некоторый контур, от времени:

График зависимости ЭДС индукции в контуре от времени представлен на рисунке …

График зависимости ЭДС индукции в контуре от времени представлен на рисунке …
В ходе необратимого процесса при поступлении в неизолированную термодинамическую систему тепла для приращения энтропии верным будет соотношение …
Напряжение на концах медного провода диаметром d и длиной l равно
. При увеличении напряжения в 4 раза удельная тепловая мощность тока …
. При увеличении напряжения в 4 раза удельная тепловая мощность тока …Два заряда
и
движутся параллельно в одну сторону на расстоянии r друг от друга, как показано на рисунке:

Магнитная составляющая силы, действующей на второй заряд со стороны первого заряда, имеет направление …
и
движутся параллельно в одну сторону на расстоянии r друг от друга, как показано на рисунке:
Магнитная составляющая силы, действующей на второй заряд со стороны первого заряда, имеет направление …
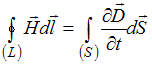
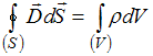
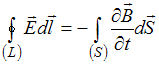
Полная система уравнений Максвелла для электромагнитного поля в интегральной форме имеет вид:
,
,
,
0.
Следующая система уравнений:
,
,
,
–
справедлива для …
,
,
,
0.Следующая система уравнений:
,
,
,
–справедлива для …
Характер зависимости магнитной проницаемости ферромагнетика
от напряженности внешнего магнитного поля Н показан на графике …
от напряженности внешнего магнитного поля Н показан на графике …На рисунке приведен график зависимости скорости
тела от времени t.

Если масса тела равна 2 кг, то изменение импульса тела (в единицах СИ) за 2 с равно …
тела от времени t.
Если масса тела равна 2 кг, то изменение импульса тела (в единицах СИ) за 2 с равно …
Диск и обруч, имеющие одинаковые массы и радиусы, вкатываются без проскальзывания с одинаковыми скоростями на горку. Если трением и сопротивлением воздуха можно пренебречь, то отношение высот
, на которые смогут подняться эти тела, равно …
, на которые смогут подняться эти тела, равно …Под действием постоянной силы в
скорость тела изменялась с течением времени, как показано на графике:

Масса тела (в
) равна …
скорость тела изменялась с течением времени, как показано на графике:
Масса тела (в
) равна …Момент импульса электрона в атоме и его пространственные ориентации могут быть условно изображены векторной схемой, на которой длина вектора пропорциональна модулю орбитального момента импульса
электрона. На рисунке приведены возможные ориентации вектора
.

Значение орбитального квантового числа для указанного состояния равно …
электрона. На рисунке приведены возможные ориентации вектора
.
Значение орбитального квантового числа для указанного состояния равно …
Направления векторов момента импульса
и момента силы
для равнозамедленного вращения твердого тела правильно показаны на рисунке …

и момента силы
для равнозамедленного вращения твердого тела правильно показаны на рисунке …
Складываются два гармонических колебания одного направления с одинаковыми частотами и амплитудами, равными
и
. Установите соответствие между амплитудой результирующего колебания и разностью фаз складываемых колебаний.
1.
2.
3.
и
. Установите соответствие между амплитудой результирующего колебания и разностью фаз складываемых колебаний.1.

2.

3.
