Физика – страница 40
Отношение средней кинетической энергии вращательного движения к средней энергии молекулы с жесткой связью
. Это имеет место для …
. Это имеет место для …Показатель преломления среды, в которой распространяется электромагнитная волна с напряженностями электрического и магнитного полей соответственно
и объемной плотностью энергии
, равен …
и объемной плотностью энергии
, равен …Плосковыпуклая линза выпуклой стороной лежит на стеклянной пластинке (установка для наблюдения колец Ньютона). Если на плоскую поверхность линзы падает нормально свет с длиной волны 0,6 мкм, то толщина воздушного зазора (в нм) в том месте, где в отраженном свете видно первое темное кольцо, равна …
Два точечных заряда q и 2q на расстоянии r друг от друга взаимодействуют с силой F. Сила взаимодействия зарядов q и q/2 на расстоянии 2r будет в ______ раз(-а) меньше.
Формула
описывает распределение одинаковых молекул массой
по высоте в изотермической атмосфере; здесь
– концентрация молекул при
,
– их концентрация на высоте
. Для этой зависимости справедливы следующие утверждения …
описывает распределение одинаковых молекул массой
по высоте в изотермической атмосфере; здесь
– концентрация молекул при
,
– их концентрация на высоте
. Для этой зависимости справедливы следующие утверждения …Верным для уравнения Шредингера
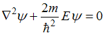
является утверждение, что оно …
является утверждение, что оно …Отношение длин волн де Бройля для молекул водорода и кислорода, соответствующих их наиболее вероятным скоростям при одной и той же температуре, равно …
Через лампу, подключенную к источнику тока с ЭДС 8 В и внутренним сопротивлением 1 Ом протекает ток 2 А. Зависимость тока от приложенного к лампе напряжения показана на графике …


На рисунке схематически изображены стационарные орбиты электрона в атоме водорода согласно модели Бора, а также показаны переходы электрона с одной стационарной орбиты на другую, сопровождающиеся излучением кванта энергии. В ультрафиолетовой области спектра эти переходы дают серию Лаймана, в видимой – серию Бальмера, в инфракрасной – серию Пашена.

Наибольшей длине волны кванта в серии Лаймана (для переходов, представленных на рисунке) соответствует переход …

Наибольшей длине волны кванта в серии Лаймана (для переходов, представленных на рисунке) соответствует переход …
Частица движется со скоростью 0,8 с (с – скорость света в вакууме). Тогда ее масса по сравнению с массой покоя ______%.
На рисунке представлена зависимость амплитуды вынужденных колебаний математического маятника от частоты внешней силы при слабом затухании.

Длина нити маятника (в см) равна …

Длина нити маятника (в см) равна …
Максимальное значение КПД, которое может иметь тепловой двигатель с температурой нагревателя 327°С и температурой холодильника 27°С, составляет ____ %.
Автомобиль поднимается в гору по участку дуги с увеличивающейся по величине скоростью.

Равнодействующая всех сил, действующих на автомобиль, ориентирована в направлении …

Равнодействующая всех сил, действующих на автомобиль, ориентирована в направлении …
Для того чтобы раскрутить стержень массы
и длины
(см. рисунок) вокруг вертикальной оси, проходящей перпендикулярно стержню через его середину, до угловой скорости
, необходимо совершить работу
.

Для того чтобы раскрутить до той же угловой скорости стержень массы
и длины
, необходимо совершить работу в _____ раз(-а) бόльшую, чем
.
и длины
(см. рисунок) вокруг вертикальной оси, проходящей перпендикулярно стержню через его середину, до угловой скорости
, необходимо совершить работу
.
Для того чтобы раскрутить до той же угловой скорости стержень массы
и длины
, необходимо совершить работу в _____ раз(-а) бόльшую, чем
.
.