Физика – страница 24
Установите соответствие между переносчиками фундаментальных взаимодействий и видами этих взаимодействий.
1. Фотоны
2. Глюоны
3. Бозоны
1. Фотоны
2. Глюоны
3. Бозоны
Возраст любого предмета, изготовленного из некогда живой ткани, например, из дерева, можно приближенно определить по удельной активности (активности единицы массы) радиоактивного изотопа углерода
, период полураспада которого составляет примерно 5700 лет. Если удельная активность
в деревянном предмете равна
от удельной активности растущего дерева, то дерево, из которого было изготовлено орудие, было срублено примерно ____ лет назад.
, период полураспада которого составляет примерно 5700 лет. Если удельная активность
в деревянном предмете равна
от удельной активности растущего дерева, то дерево, из которого было изготовлено орудие, было срублено примерно ____ лет назад.На рисунке представлены две вольтамперные характеристики вакуумного фотоэлемента. Если Е – освещенность фотокатода, а l – длина волны падающего на него света, то справедливо следующее утверждение …


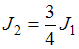
На пути естественного света помещены две пластинки турмалина. После прохождения пластинки 1 свет полностью поляризован. Если J1 и J2 – интенсивности света, прошедшего пластинки соответственно 1 и 2, и
, тогда угол между направлениями OO и O’O’ равен …

, тогда угол между направлениями OO и O’O’ равен …
При дифракции на дифракционной решетке наблюдается зависимость интенсивности излучения с длиной волны
от синуса угла дифракции, представленная на рисунке (изображены только главные максимумы). Количество штрихов на
длины решетки равно …

от синуса угла дифракции, представленная на рисунке (изображены только главные максимумы). Количество штрихов на
длины решетки равно …
6
-мезон, двигавшийся со скоростью
(с – скорость света в вакууме) в лабораторной системе отсчета, распадается на два фотона: g1 и g2. В системе отсчета мезона фотон g1 был испущен вперед, а фотон g2 – назад относительно направления полета мезона. Скорость фотона g2 в лабораторной системе отсчета равна …
-мезон, двигавшийся со скоростью
(с – скорость света в вакууме) в лабораторной системе отсчета, распадается на два фотона: g1 и g2. В системе отсчета мезона фотон g1 был испущен вперед, а фотон g2 – назад относительно направления полета мезона. Скорость фотона g2 в лабораторной системе отсчета равна …Автомобиль поднимается в гору по участку дуги с постоянной по величине скоростью.

Равнодействующая всех сил, действующих на автомобиль, ориентирована в направлении …

Равнодействующая всех сил, действующих на автомобиль, ориентирована в направлении …
Твердое тело вращается вокруг неподвижной оси. Скорость точки, находящейся на расстоянии 10 см от оси, изменяется со временем в соответствии с графиком, представленным на рисунке.

Угловое ускорение тела (в единицах СИ) равно …

Угловое ускорение тела (в единицах СИ) равно …
Шар массы m1, движущийся со скоростью
, налетает на покоящийся шар массы m2 (рис. 1).

Могут ли после соударения скорости шаров,
и
, иметь направления, показанные на рис. 2 (а и б)?

, налетает на покоящийся шар массы m2 (рис. 1).
Могут ли после соударения скорости шаров,
и
, иметь направления, показанные на рис. 2 (а и б)?
На рисунке показана ориентация векторов напряженности электрического
и магнитного
полей в электромагнитной волне. Вектор Умова – Пойнтинга ориентирован в направлении …

и магнитного
полей в электромагнитной волне. Вектор Умова – Пойнтинга ориентирован в направлении …
Складываются два гармонических колебания одного направления с одинаковыми частотами и равными амплитудами
. Установите соответствие между разностью фаз складываемых колебаний и амплитудой результирующего колебания.
1.
2.
3. 0
. Установите соответствие между разностью фаз складываемых колебаний и амплитудой результирующего колебания.1.

2.

3. 0
Пружинный маятник с жесткостью пружины
совершает вынужденные колебания со слабым коэффициентом затухания
которые подчиняются дифференциальному уравнению
Амплитуда колебаний будет максимальна, если массу груза увеличить в _____ раз(-а).
совершает вынужденные колебания со слабым коэффициентом затухания
которые подчиняются дифференциальному уравнению
Амплитуда колебаний будет максимальна, если массу груза увеличить в _____ раз(-а).Уравнение плоской синусоидальной волны, распространяющейся вдоль оси OХ, имеет вид
. Амплитуда ускорения колебаний частиц среды (в
) равна …
. Амплитуда ускорения колебаний частиц среды (в
) равна …На рисунках схематически представлены графики распределения плотности вероятности по ширине одномерного потенциального ящика с бесконечно высокими стенками для состояний электрона с различными значениями главного квантового числа n:

В состоянии с n = 2 вероятность обнаружить электрон в интервале от
до
равна …

В состоянии с n = 2 вероятность обнаружить электрон в интервале от
до
равна …На рисунке представлена диаграмма энергетических уровней атома водорода:

Излучение фотона с наименьшей длиной волны происходит при переходе, обозначенном стрелкой под номером …

Излучение фотона с наименьшей длиной волны происходит при переходе, обозначенном стрелкой под номером …