Физика – страница 21
На рисунках изображены зависимости от времени скорости и ускорения материальной точки, колеблющейся по гармоническому закону.


Циклическая частота колебаний точки равна ______


Циклическая частота колебаний точки равна ______

По параллельным металлическим проводникам, расположенным в однородном магнитном поле, с постоянным ускорением перемещается проводящая перемычка, длиной
(см. рис.). Если сопротивлением перемычки и направляющих можно пренебречь, то зависимость индукционного тока от времени можно представить графиком …

(см. рис.). Если сопротивлением перемычки и направляющих можно пренебречь, то зависимость индукционного тока от времени можно представить графиком …
На рисунке показана зависимость магнитной проницаемости
от напряженности внешнего магнитного поля Н для …

от напряженности внешнего магнитного поля Н для … 
На рисунке изображены сечения двух прямолинейных длинных параллельных проводников с противоположно направленными токами, причем
. Индукция
магнитного поля равна нулю на участке …

. Индукция
магнитного поля равна нулю на участке …
На рисунке представлена зависимость плотности тока j, протекающего в проводниках 1 и 2, от напряженности электрического поля Е:

Отношение удельных сопротивлений r1/r2 этих проводников равно …

Отношение удельных сопротивлений r1/r2 этих проводников равно …
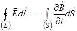
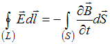
Полная система уравнений Максвелла для электромагнитного поля в интегральной форме имеет вид:
,
,
,
0.
Следующая система уравнений:



0 –
справедлива для …
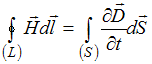
,
,
,
0.Следующая система уравнений:



0 –справедлива для …
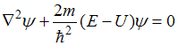
Стационарное уравнение Шредингера в общем случае имеет вид
. Здесь
потенциальная энергия микрочастицы. Электрону в одномерном потенциальном ящике с бесконечно высокими стенками соответствует уравнение …
. Здесь
потенциальная энергия микрочастицы. Электрону в одномерном потенциальном ящике с бесконечно высокими стенками соответствует уравнение …Если молекула водорода, позитрон, протон и
-частица имеют одинаковую длину волны де Бройля, то наибольшей скоростью обладает …
-частица имеют одинаковую длину волны де Бройля, то наибольшей скоростью обладает …Частица находится в прямоугольном одномерном потенциальном ящике с непроницаемыми стенками шириной 0,2 нм. Если энергия частицы на втором энергетическом уровне равна 37,8 эВ, то на четвертом энергетическом уровне равна _____ эВ.
Средняя кинетическая энергия молекул газа при температуре
зависит от их конфигурации и структуры, что связано с возможностью различных видов движения атомов в молекуле и самой молекулы. При условии, что имеет место поступательное, вращательное движение молекулы как целого и колебательное движение атомов в молекуле, отношение средней кинетической энергии колебательного движения к полной кинетической энергии молекулы азота (
) равно …
зависит от их конфигурации и структуры, что связано с возможностью различных видов движения атомов в молекуле и самой молекулы. При условии, что имеет место поступательное, вращательное движение молекулы как целого и колебательное движение атомов в молекуле, отношение средней кинетической энергии колебательного движения к полной кинетической энергии молекулы азота (
) равно …Диаграмма циклического процесса идеального одноатомного газа представлена на рисунке. Работа газа за цикл (в кДж) равна …


Ускоритель сообщил радиоактивному ядру скорость
(c – скорость света в вакууме). В момент вылета из ускорителя ядро выбросило в направлении своего движения β-частицу, скорость которой
относительно ускорителя. Скорость β-частицы относительно ядра равна …
(c – скорость света в вакууме). В момент вылета из ускорителя ядро выбросило в направлении своего движения β-частицу, скорость которой
относительно ускорителя. Скорость β-частицы относительно ядра равна …Импульс тела
изменился под действием кратковременного удара и стал равным
, как показано на рисунке:

В момент удара сила действовала в направлении …
изменился под действием кратковременного удара и стал равным
, как показано на рисунке:
В момент удара сила действовала в направлении …