Физика – страница 17
На рисунке приведен график зависимости скорости тела
от времени t.

Если масса тела равна 2 кг, то сила (в Н), действующая на тело, равна …
от времени t. 
Если масса тела равна 2 кг, то сила (в Н), действующая на тело, равна …
Диск равномерно вращается вокруг вертикальной оси в направлении, указанном на рисунке белой стрелкой. В некоторый момент времени к ободу диска была приложена сила, направленная по касательной.

При этом правильно изображает направление углового ускорения диска вектор …

При этом правильно изображает направление углового ускорения диска вектор …
Рассматриваются три тела: диск, тонкостенная труба и кольцо; причем массы m и радиусы R их оснований одинаковы.



Для моментов инерции рассматриваемых тел относительно указанных осей верным является соотношение …



Для моментов инерции рассматриваемых тел относительно указанных осей верным является соотношение …
На борту космического корабля нанесена эмблема в виде геометрической фигуры:

Если корабль движется в направлении, указанном на рисунке стрелкой, со скоростью, сравнимой со скоростью света, то в неподвижной системе отсчета эмблема примет форму, указанную на рисунке …

Если корабль движется в направлении, указанном на рисунке стрелкой, со скоростью, сравнимой со скоростью света, то в неподвижной системе отсчета эмблема примет форму, указанную на рисунке …
Фигурист вращается вокруг вертикальной оси с определенной частотой. Если он прижмет руки к груди, уменьшив тем самым свой момент инерции относительно оси вращения в 2 раза, то …
Частица движется в двумерном поле, причем ее потенциальная энергия задается функцией
. Работа сил поля по перемещению частицы (в Дж) из точки С (1, 1, 1) в точку В (2, 2, 2) равна …
(Функция
и координаты точек заданы в единицах СИ.)
. Работа сил поля по перемещению частицы (в Дж) из точки С (1, 1, 1) в точку В (2, 2, 2) равна …(Функция
и координаты точек заданы в единицах СИ.)Наблюдается явление внешнего фотоэффекта. При этом с уменьшением длины волны падающего света …
На дифракционную решетку по нормали к ее поверхности падает плоская световая волна с длиной волны
Если постоянная решетки
, то общее число главных максимумов, наблюдаемых в фокальной плоскости собирающей линзы, равно …
Если постоянная решетки
, то общее число главных максимумов, наблюдаемых в фокальной плоскости собирающей линзы, равно …Солнечный свет падает на зеркальную поверхность по нормали к ней. Если интенсивность солнечного излучения равна 1,37 кВт/м2, то давление света на поверхность равно _____ . (Ответ выразите в мкПа и округлите до целого числа).
Кривая дисперсии в области одной из полос поглощения имеет вид, показанный на рисунке. Соотношение между фазовой
и групповой
скоростями для участка bc имеет вид …

и групповой
скоростями для участка bc имеет вид …
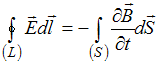
Уравнения Максвелла являются основными законами классической макроскопической электродинамики, сформулированными на основе обобщения важнейших законов электростатики и электромагнетизма. Эти уравнения в интегральной форме имеют вид:
1).
;
2).
;
3).
;
4).
0.
Третье уравнение Максвелла является обобщением …
1).
;2).
;3).
;4).
0.Третье уравнение Максвелла является обобщением …
На рисунках представлены графики зависимости напряженности поля
для различных распределений заряда:



График зависимости
для заряженной металлической сферы радиуса R показан на рисунке …
для различных распределений заряда:


График зависимости
для заряженной металлической сферы радиуса R показан на рисунке …Проводящий плоский контур площадью 100 см2 расположен в магнитном поле перпендикулярно линиям магнитной индукции. Если магнитная индукция изменяется по закону
Тл, то ЭДС индукции, возникающая в контуре в момент времени
(в мВ), равна …
Тл, то ЭДС индукции, возникающая в контуре в момент времени
(в мВ), равна …Маленьким электрокипятильником можно вскипятить в автомобиле стакан воды для чая или кофе. Напряжение аккумулятора 12 В. Если он за 5 мин нагревает 200 мл воды от 10 до 100°С, то сила тока (в А), потребляемого от аккумулятора, равна …
(Теплоемкость воды равна 4200 Дж/кг.К.)
(Теплоемкость воды равна 4200 Дж/кг.К.)