Установите соответствие между источником электростатического поля и формулой, позволяющей вычислить напряженность поля в некоторой точке.
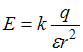
1. Точечный заряд
2. Равномерно заряженная длинная нить
3. Равномерно заряженная бесконечная плоскость
1. Точечный заряд
2. Равномерно заряженная длинная нить
3. Равномерно заряженная бесконечная плоскость
• 

• 

• 

• 
