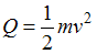
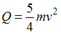
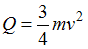
Тело массой  m движется со скоростью  v  и ударяется о неподвижное тело такой же массы. Удар центральный и неупругий. Количество тепла, выделившееся при ударе, равно …
• 
• 
• 
• 
Тема: Работа. Энергия. Законы сохранения в механике
Предмет: Физика