К спиральной пружине жесткостью
, расположенной горизонтально, прикрепили груз массы
и поместили всю систему в вязкую среду с коэффициентом сопротивления
. Если тело сместить из положения равновесия и отпустить, то закон его движения имеет вид …
, расположенной горизонтально, прикрепили груз массы
и поместили всю систему в вязкую среду с коэффициентом сопротивления
. Если тело сместить из положения равновесия и отпустить, то закон его движения имеет вид … •
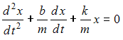
Необходимо учесть силу сопротивления
, т.к. груз движется в вязкой среде. При этом движение груза является свободным, отсутствует вынуждающая сила
.
•
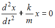
Движение груза является свободным, отсутствует вынуждающая сила
.
•
Необходимо учесть силу сопротивления
, т.к. груз движется в вязкой среде.
• 
