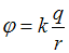
В электрическом поле точечного заряда
(см. рисунок) из точки А в точки B, C, D и E перемещают заряд
. Для работы по перемещению заряда
в поле заряда
справедливо соотношение…
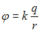
(см. рисунок) из точки А в точки B, C, D и E перемещают заряд
. Для работы по перемещению заряда
в поле заряда
справедливо соотношение…
•
Работа по перемещению заряда
в электростатическом поле вычисляется по формуле
. Потенциал поля точечного заряда
определяется по формуле
. Учтите, что все точки лежат на одинаковом расстоянии от заряда
.
•
Работа по перемещению заряда
в электростатическом поле не зависит от траектории перемещения, а зависит от потенциала начальной и конечной точек:
. Потенциал поля точечного заряда
определяется по формуле
. Учтите, что все точки лежат на одинаковом расстоянии от заряда
.
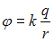
• 

•
Работа по перемещению заряда
в электростатическом поле вычисляется по формуле
. Потенциал поля точечного заряда
определяется по формуле
. Учтите, что все точки лежат на одинаковом расстоянии от заряда
.