
В точке А траектории угол между векторами скорости и ускорения
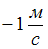
, ускорение
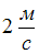
, скорость направлена горизонтально. За время
(считать его малым приращением) приращение скорости по модулю составит …• 

• 

• 

• 


, ускорение
, скорость направлена горизонтально. За время
(считать его малым приращением) приращение скорости по модулю составит …


