Если позитрон, протон, нейтрон и Изображение вопроса Если позитрон, протон, нейтрон и частица имеют оди...частица имеют одинаковую длину волны де Бройля, то наибольшей скоростью обладает …
• нейтрон

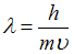
Длина волны  де Бройля определяется формулой, где  – постоянная Планка,  и  – масса и скорость частицы. Выразите из этой формулы скорость частицы и учтите соотношение масс рассматриваемых частиц.

• частица

Длина волны  де Бройля определяется формулой, где  – постоянная Планка,  и  – масса и скорость частицы. Выразите из этой формулы скорость частицы и учтите соотношение масс рассматриваемых частиц.

• позитрон
• протон

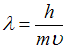
Длина волны  де Бройля определяется формулой:, где  – постоянная Планка,  и  – масса и скорость частицы. Выразите из этой формулы скорость частицы и учтите соотношение масс рассматриваемых частиц.

Предмет: Физика