
Максимальная мощность, которая выделяется в реостате, равна …

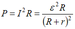
Мощность, выделяемая в проводнике при прохождении по нему электрического тока, рассчитывается по формуле
. Необходимо найти максимальную мощность, а для этого требуется выяснить, при каком значении R в реостате выделяется максимальная мощность.
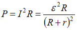
Мощность, выделяемая в проводнике при прохождении по нему электрического тока, рассчитывается по формуле
. Необходимо найти максимальную мощность, а для этого требуется выяснить, при каком значении R в реостате выделяется максимальная мощность.
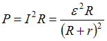
Мощность, выделяемая в проводнике при прохождении по нему электрического тока, рассчитывается по формуле
. Необходимо найти максимальную мощность, а для этого требуется выяснить, при каком значении R в реостате выделяется максимальная мощность.