Показатель преломления среды
, с точки зрения волновой теории света, равен …
, с точки зрения волновой теории света, равен …•
, где
длина волны в вакууме,
длина волны в среде
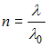
, где
длина волны в вакууме,
длина волны в среде•
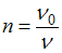
, где
частота волны в вакууме,
частота волны в среде
, где
частота волны в вакууме,
частота волны в среде•
, где
– угол падения, соответствующий полной поляризации отраженного луча
, где
– угол падения, соответствующий полной поляризации отраженного луча•
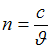
, где
– скорость света в вакууме,
скорость света в среде
, где
– скорость света в вакууме,
скорость света в среде