В идеальной тепловой машине, работающей по циклу Карно, абсолютная температура нагревателя в 2 раза превышает температуру холодильника. Если температура холодильника уменьшится вдвое при неизменной температуре нагревателя, то КПД машины станет равным…
• 50%

Вы нашли КПД тепловой машины до изменения температуры холодильника.

• 75%
• 90%

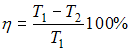
КПД обратимого цикла Карно равен , где  температура нагревателя,  температура холодильника. Учтите, что температура холодильника уменьшается в два раза.

• 100%

Такое значение КПД  противоречит II началу термодинамики.

Предмет: Физика