Материальная точка совершает гармонические колебания по закону
.
Период колебания точки равен…
.Период колебания точки равен…
•
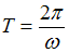
Примените формулу, связывающую период колебаний и круговую частоту
.
•
Зависимость координаты материальной точки от времени при гармонических колебаниях определяется выражением
, где
амплитуда,
круговая частота,
начальная фаза колебаний. Сравните уравнение колебаний в общем виде с уравнением, заданным в условии задачи.
•
Примените формулу, связывающую период колебаний и круговую частоту
.
• 
